Huvudinnehåll
Utforska ett ämne i kunskapsbanken
Meteorologi
Faktapaket: Strålning
Solstrålning i Sverige
Sedan 1983 utför SMHI mätningar av solstrålning på flertalet platser i Sverige. Idag finns det totalt 18 mätstationer, tolv av dessa har funnits sedan 1980-talet. Mätningar av solstrålning ger information om hur vädret varit, samt om förutsättningarna för solenergi och växtlighet.
Mängden solstrålning som når jordytan varierar över dygnet och året, framförallt till följd av variationer i solens läge på himlen relativt en plats på jorden och på grund av varierande molnighet.
Moln som skymmer solen skapar stora kontraster i solinstrålningen till skillnad mot de mjuka skiftningar som sker över tid från en molnfri himmel. Även spridning och absorption av solljus av partiklar och gaser i luften samt markytans reflektionsförmåga påverkar mängden solstrålning.
Förstora bildenFigur 1. Minutvärden för direkt, global, diffus och långvågig strålning uppmätt i Norrköping den 27 maj 2015.
Uppmätta strålningsparametrar
Det finns ett flertal olika parametrar för att beskriva solinstrålningen till jordytan. Vid samtliga av SMHIs mätstationer mäts infallande solstrålning mot en horisontell yta från alla riktningar, så kallad globalstrålning. Variationen av globalstrålningen under en dag i maj från mätstationen i Norrköping visas i Figur 1 (röd linje). Vädret var mestadels soligt under förmiddagen med passerande mestadels tunna moln, men mer molnigt under eftermiddagen. Tvära dippar i globalstrålningen ses när moln passerar mätstationen. Under en molnfri sommardag uppnår globalstrålningen som mest cirka 900 W/m2.
Globalstrålningen mäts över hela solens strålningsspektrum, ca 0,28-4 µm. Vid ett flertal av SMHIs stationer mäts också långvågsstrålning som motsvaras av våglängdsintervallet 3-100 µm. Det är det intervall som jordens och atmosfärens strålning ligger inom, medan solen på grund av sin mycket högre temperatur huvudsakligen strålar vid kortare våglängder (kortvågig strålning). Vid stationerna mäts den nedåtriktade långvågstrålningen från atmosfären och molnen. I Figur 1 framgår att långvågsstrålningen (grå linje) ökar vid passagen av moln. Moln absorberar utgående långvågsstrålning från jordytan bättre än luft, och en molntäckt himmel återstrålar därför mer än en molnfri himmel.
Genom att montera instrument på en solföljare kan mätningar göras direkt mot solen, vilket ger den så kallade direktstrålningen (0,28-4 µm, blå linje i Figur 1). Med hjälp av solföljare mäts också den diffusa solstrålningen (grön linje) genom att man skuggar bort den direkta strålningen och endast mäter strålning som spridits mot molekyler och partiklar i luften och därför infaller från omgivande riktningar. Den diffusa strålningen ökar i allmänhet när moln passerar, eftersom moln ger upphov till ökad spridning av solljus.
Sambandet mellan den direkta, diffusa och globala solstrålningen ges av:
G=I*sin(h) + D
Där G = globalstrålning, I = direktstrålning, D = diffusstrålning och h = solhöjden.
Vid samtliga av SMHIs mätstationer mäts eller beräknas också solskenstiden, som är definierad som den tid då direktstrålningen överstiger 120W/m2. I medeltal ligger solskenstiden på cirka 7-10 timmar under sommarmånaderna och endast ett fåtal timmar under vintern.
Dygns- och årsvariation i Sverige 1983 - 2014
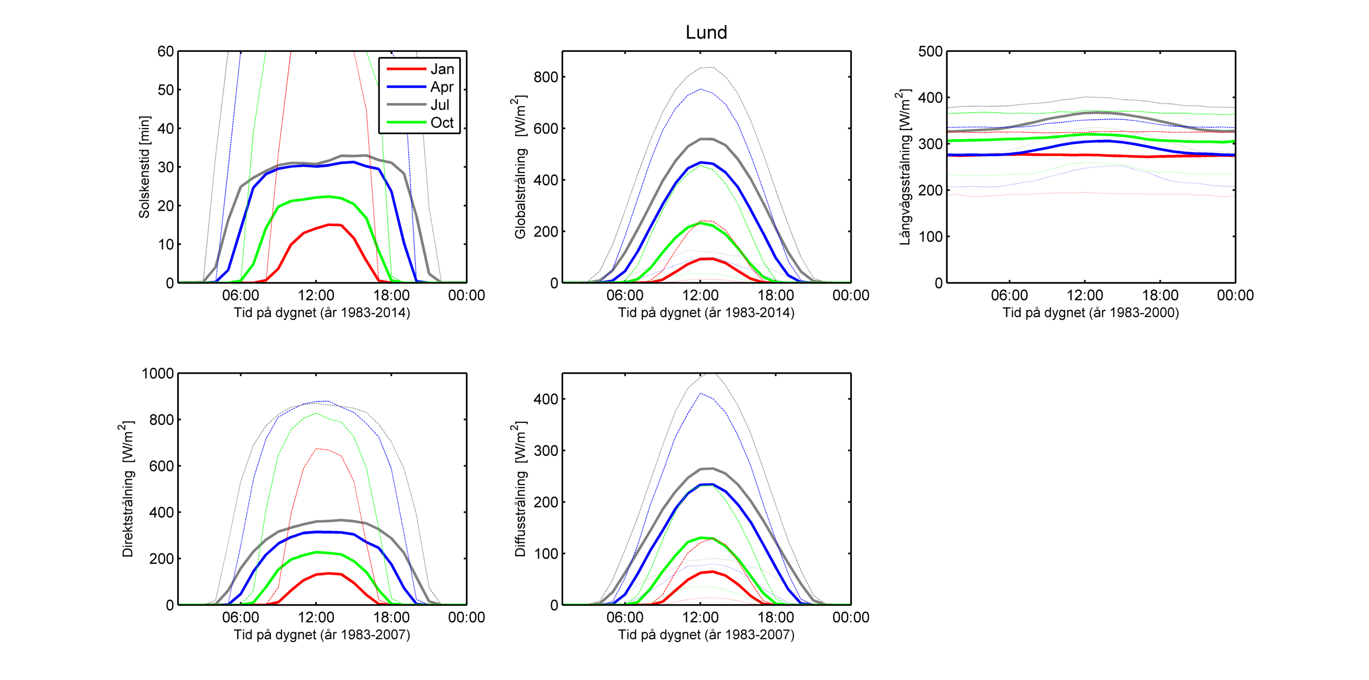
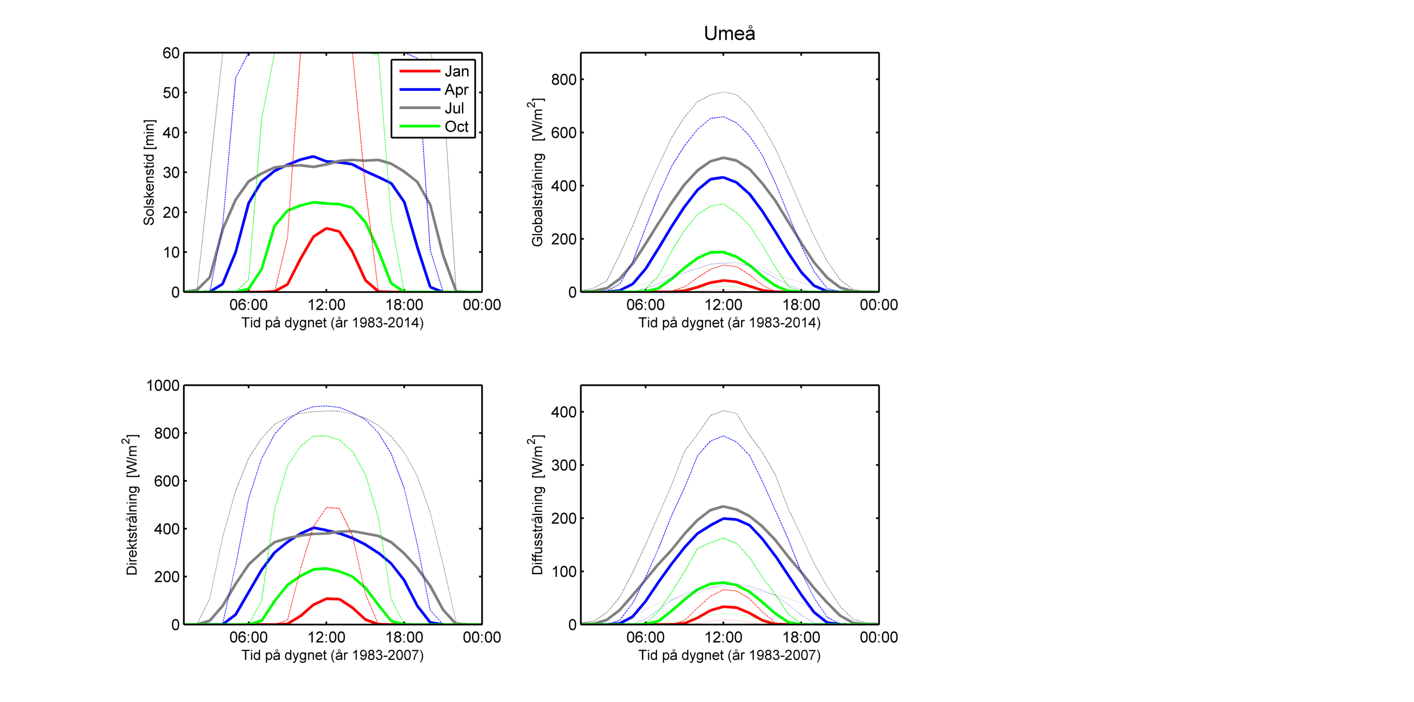
Den genomsnittliga dygnsvariationen för samtliga strålningsparametrar från mätningarna i Norrköping sedan dess start (som längst 1983) visas i Figur 2. Här är effekten av moln utslätad genom medelvärdesbildning över åren och kurvorna blir mjuka och speglar solens upp och nergång. Långvågsstrålningen har till skillnad från övriga strålningsparametrar endast en svag dygnsvariation.
I Figur 3 syns den genomsnittliga årsvariationen av strålning baserad på dygnsvärden. Den styrs främst av antalet timmar som solen befinner sig över horisonten och hur högt solen når på himlen.
Dygns- och årsvariationen från mätstationer med de längsta tidsserierna, finns via länkarna till höger. Där hittas också tabeller med uppmätta månadsvärden. Mätstationerna och dess utrustning har ändrats under åren, och det finns därför skillnader i mätseriernas längd för olika stationer.
Mätningar av långvågsstrålning utförda innan 2007 är gjorda med batteridrivna instrument där batteriets kvalité kan påverka mätnoggrannheten. Dessa instrument är inte kalibrerade efter inköp. Eftersom mätningarnas noggrannhet inte är känd bör värdena användas med försiktighet.
Förstora bildenFigur 2. Dygnsvariation av solstrålning uppmätt i Norrköping 1983-2014. Heldragna linjer visar medelvärden för varje timme på dygnet för januari, april, juli och augusti. Streckade linjer visar övre och undre gränser inom vilka 95 % av de uppmätta timvärdena ryms (95% percentiler).
Förstora bildenFigur 3. Årstidsvariation av solstrålning uppmätt i Norrköping 1983-2014. Grå punkter visar dygnsvärden (ackumulerade) för samtliga dagar under perioden, blå kurva visar medelvärden för varje dag på året över samtliga år, röd och grön kurva visar max respektive min värden för varje dag på året över samtliga år.
Tabell med månadsvärden
Ladda ner: Månadsvärden för alla stationer (381 kB, xls) xls, 462.5 kB.
Dygnsvariation för solstrålning
- Borlänge (388 kB, png) png, 387.8 kB.
- Göteborg (344 kB, png) png, 343.6 kB.
- Karlstad (346 kB, png) png, 345.8 kB.
- Kiruna (356 kB, png) png, 355.3 kB.
- Luleå (371 kB, png) png, 370.5 kB.
- Lund (389 kB, png) png, 388.9 kB.
- Norrköping (389 kB, png) png, 388.6 kB.
- Stockholm (386 kB, png) png, 385.1 kB.
- Umeå (341 kB, png) png, 340 kB.
- Visby (384 kB, png) png, 383.4 kB.
- Växjö (356 kB, png) png, 355.9 kB.
- Östersund (345 kB, png) png, 344.6 kB.
Årsvariation för solstrålning
- Borlänge (822 kB, png) png, 821.6 kB.
- Göteborg (708 kB, png) png, 707.6 kB.
- Karlstad (717 kB, png) png, 716.4 kB.
- Kiruna (755 kB, png) png, 754.8 kB.
- Luleå (800 kB, png) png, 799.7 kB.
- Lund (835 kB, png) png, 834.6 kB.
- Norrköping (817 kB, png) png, 816.7 kB.
- Stockholm (826 kB, png) png, 825.9 kB.
- Umeå (686 kB, png) png, 685.1 kB.
- Visby (806 kB, png) png, 805.8 kB.
- Växjö (714 kB, png) png, 714 kB.
- Östersund (695 kB, png) png, 694.1 kB.
Mer i detta faktapaket
- Meteorologi
Strålning
Solen är vår närmaste stjärna, källan till all energi och allt liv och rörelse på jorden, och även den drivande grundkraften i allt väder vi upplev...
- Strålning
Globalstrålning under året och dygnet
Med globalstrålning avses den inkommande solstrålningen mot en horisontell yta. Enheten är W/m² (Watt per kvadratmeter).
- Strålning
Hur mäts globalstrålning?
Solstrålningen är ytterst den viktigaste energikällan för flera processer på jorden. Den driver fotosyntesen men också vädret. Variationer i solstr...
- Strålning
Hur mäts solskenstid?
Vi påverkas av vädret och då speciellt om det är solsken eller inte. Men vad är solskenstid egentligen? Hur mäts den och vilka svårigheter finns de...
- Strålning
Olika sorters strålning
Sol- och värmestrålning kan delas upp i en rad olika komponenter. Inom meteorologin utgörs de vanligaste komponenterna av globalstrålning, direktst...
- Strålning
Solskenstid under året och dygnet
Solskenstid är den tid då energin från den direkta strålningen överstiger 120 W/m². Det motsvarar den sammanlagda tiden under dagen då solen inte ...
- Strålning
Solstrålning i Sverige sedan 1983
Den inkommande solstrålningen vid markytan har i genomsnitt ökat sedan 1980-talet i Sverige. Variationen från år till år är dock stor och påverkas ...
- Strålning
Variationer i mängden solstrålning
Strålning förflyttas med ljusets hastighet och moln med vindens hastighet. Förändringar i mängden solstrålning kan därför ske väldigt snabbt. Solen...
Faktapaket meteorologi
Alla faktapaket inom meteorologi
Vi har satt ihop artiklar utifrån kategorier. Allt för att du ska få ett samlat innehåll.




