Växtplanktonsituationen 2022
Genom att titta på koncentrationer av näringsämnen i vattnet kan det antas att blomningen pågick i Kattegatt mellan februari- och mars-provtagningarna och i början av april i Skagerrak. I Egentliga Östersjön var vårblomningen igång i de södra delarna redan i mars och en månad senare hittades ett vårblomningssamhälle vid de mer norra stationerna. Vårblomning noterades för Bottenhavet i april med olika arter av kiselalger men missades troligtvis i Bottenviken.
SMHI, Stockholms universitet och Umeå universitet utför nationell marin miljöövervakning av bl.a. växtplankton. Provtagningar sker ungefär en gång per månad från forskningsfartyg, på några platser oftare, s.k. intensivstationer. Dessutom använder SMHI satelliter för övervakning av cyanobakterieblomningar.
Förstora bildenKarta över provtagningsstationer från det nationella utsjöprogrammet.
Västerhavet
Provtagningen vid de två första månaderna påvisade ingen begynnande vårblomning detta år. I februari förekom framför allt dinoflagellater i lite högre täthet. I mars månads provtagning återfanns högre tätheter av kalkalgen Emiliania huxleyi vid Å17 och vid övriga stationer var vårblomningsarten Skeletonema marinoi vanlig.
Någon egentlig vårblomning lyckades inte fångas in detta år i Kattegatt utan blomningen pågick troligtvis mellan två provtagningsmånader och skedde troligtvis mellan februari och mars. Detta kunde även avläsas i närsaltskoncentrationerna.
I mars noterades ingen vårblomning i proverna från fartyget Svea i Skagerrak, men provtagningen vid Kristineberg Center visade på förhöjda klorofyllvärden i början av april. Tyvärr provtas inte planktonfloran vid dessa provtagningar.
I juli var en planktolog ombord på R/V Svea och analyserade proverna direkt. Denna månad återfanns ett flertal fluorescensmaximum i Skagerrak på ca 10 meters djup och analys av dessa påvisade höga antal av den skadliga arten Dinophysis acuta. Arten har varit sällsynt under många år men efter denna episod återfanns den mer frekvent i Västerhavet under hösten och spreds till ytvatten och in i fjordarna.
I Kattegatt återfanns även här fluorescensmaximum men dessa bestod av en blandning av dinoflagellatsläktet Tripos samt kiselalgen Proboscia alata. Under hösten återfanns även förhöjda antal av kalgalgen E. hyxleyi igen. Vid novemberprovtagningen återfanns fortfarande ett växtplanktonsamhälle med, för månaden, höga cellantal.
Förstora bildenFlera fluorescenstoppar återfanns på ca 10 meters djup i juli i Skagerrak samt på 15-25 meters djup i Kattegatt. Dinoflagellaten Dinophysis acuta (vänster) dominerade i Skagerrak och dinoflagellatsläktet Tripos (höger) dominerade i Kattegatt.
Förstora bildenDiagrammen visar mängden klorofyll a (µg/l) som integrerade värden från 0–10 meter vid stationerna Anholt E i Kattegatt (vänster) samt Släggö i Skagerrak (höger). Punkterna visar 2022 års värden, linjerna visar 30 års månadsmedel (1991–2020), och de gråmarkerade områdena visar +/- en standardavvikelse.
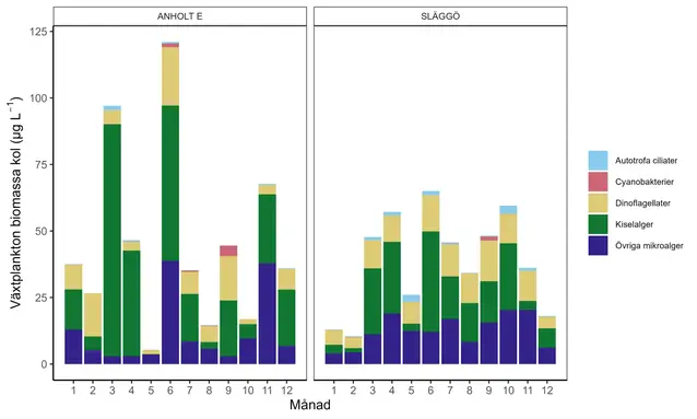
Förstora bildenDiagrammen visar totala biomassan i kol (µg/l) av olika grupper av växtplankton över året för djupet 0–10 m. Den vänstra stationen är intensivstation i Kattegatt och den högra intensivstation i Skagerrak. De flesta ciliater är mikrozooplankton. De som inkluderats i diagrammen utför fotosyntes och fungerar som växtplankton.
Egentliga Östersjön
Årets första två provtagningar inleddes med låga, men normala, koncentrationer av växtplankton vid samtliga stationer i Egentliga Östersjön. I mars månad var vårblomningen igång i de södra delarna och en månad senare i de norra delarna.
I de södra delarna var Skeletonema marinoi vanligt förekommande medan den nordligare delen hade en blandning av S. marinoi och dinoflagellaten Peridiniella catenata. Båda arterna är vanligt förekommande i vårblomningen i Östersjön. Under mars, april och maj noterades filament av cyanobakterien Aphanizomenon flosaquae vid enstaka stationer.

Dinoflagellaten Peridiniella catenata var vanlig i vårblomningsproverna vid provtagningen i april. Denna art är en av få dinoflagellater som bildar kedjor. Arten är vanligt förekommande i vårblomningen i Östersjön.
I juni var utbredningen högre och samma art återfanns vid de flesta stationer. Nu återfanns även Nodularia spumigena. Juniexpeditionen innehöll även en del fluorescenstoppar på 15–30 m och här var flagellatgruppen Prymnesiales vanlig. Detta fenomen har förekommit under vår till tidig sommar de senaste åren.
Juliresan med planktolog ombord var blåsigare än vanligt och inga ytansamlingar noterades under resan. Filamentösa cyanobakterier var ändå vanliga i de integrerade proverna (0–10 m). Vid BY31 i den nordvästra delen av Egentliga Östersjön var klorofyllkoncentrationerna över det normala under sensommaren och större delen av hösten.
Under hösten var filamentösa cyanobakterier vanligast förekommande i de sydöstra delarna fram till och med september men ett fåtal filament av A. flosaquae noterades ända in i november.
Förstora bildenDiagrammen visar mängden klorofyll a (µg/l) som integrerade värden från 0–10 meter. Bild till vänster visar BY15 i östra Egentliga Östersjön, bild i mitten visar BY2 (Södra Östersjön) bild till höger visar BY31 Norra Egentliga Östersjön. Punkterna visar 2022 års värden, linjerna visar 30 års månadsmedel (1991–2020), och de gråmarkerade områdena visar +/- en standardavvikelse.
Förstora bildenDiagrammen visar totala biomassan i kol (µg/l) av olika grupper av växtplankton över året. Bild till vänster visar BY15 i östra Egentliga Östersjön, mitten visar BY2 (södra Östersjön) samt bild till höger visar BY31 norra Egentliga Östersjön. De flesta ciliater är mikrozooplankton. De som visas i diagrammen utför fotosyntes och fungerar som växtplankton.
Bottenviken och Bottenhavet
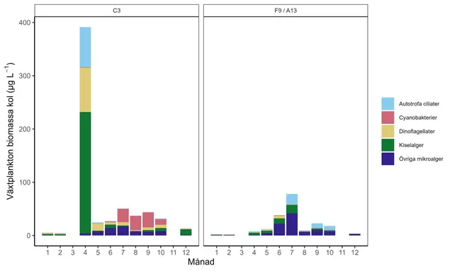
Vårblomning noterades för Bottenhavet i april med olika arter av kiselalger. Efter vårblomningen minskade den totala biovolymen fram till hösten men vid B7 återfanns en biovolymsökning i september med filamentösa cyanobakterier samt den toxiska arten Dinophysis acuminata. I Bottenviken missades vårblomningen troligtvis och den högsta biomassan återfanns i juli månad vid A13 med en blandning av olika kiselalger: den mixotrofa ciliaten Mesodinium rubrum samt släktet Chrysochromulina.
Förstora bildenDiagrammen visar mängden klorofyll a (µg/l) som integrerade värden från 0–10 meter. Till vänster representeras Bottenhavet (C3) och till höger Bottenviken (F3/A5). Punkterna visar 2022 års värden, linjerna visar tio års månadsmedel (2001–2015), och de gråmarkerade områdena visar +/- en standardavvikelse. Klorofyllmätningarna i Bottenhavet och Bottenviken är utförda av Umeå Marina Forskningscentrum.
Förstora bildenDiagrammet visar totala biomassan i kol (µg/l) av olika grupper av växtplankton över året. De flesta ciliater är mikrozooplankton. De som visas i diagrammen utför fotosyntes och fungerar som växtplankton.
Skadliga alger
Arten Dinophysis acuta*, som producerar diarrégift, har varit frånvarnade från området under flera år. Detta år förekom arten i höga tätheter under sommar och höst vilket visade sig i giftanalyser av musslor under samma period. Släktet Alexandrium* förekom över varningsgränsen under två tillfällen under senvinter respektive sommar utan förhöjda gränsvärden i musslor. Livsmedelsverkets program för toxiner i musslor påvisade inga övriga tillfällen med toxiner över varningsgränserna i musslor under året.
Cyanobakterieblomning 2022
Det var först den 17 juni som de första mer utbredda förekomsterna med cyanobakterier kunde urskiljas på den satellitdata som SMHI använder. I år syntes de första mer utbredda förekomsterna, lite ovanligt, i norra Östersjön och inte som brukligt i sydost ned mot Polen och Litauen. Det kan delvis förklaras med att ytvattnet i juni ovanligt nog var varmare i norra än i södra halvan av Östersjön.
Under sommaren förekom cyanobakterieblomning sedan i hela Egentliga Östersjön, Finska viken samt i sydöstra delen av Bottenhavet. De största sammanhängande förekomsterna var i mellersta och norra Östersjön under sista veckan i juni, medan området kring Finska vikens mynning samt havsområdet mellan Söderköping och Gotska Sandön hade flest dagar med förekomst av cyanobakterier, runt 25 dagar.
I Bottenhavet var förekomsterna som störst under andra halvan av juli, medan det var relativt rikligt med cyanobakterier i sydvästra Östersjön i mitten av augusti. Under Svea-expeditionen i juli var det relativt blåsigt och inga ytansamlingar noterades från båten men de integrerade proverna innehöll en hel del filament. Maximal utbredning noterades i slutet av juni. De områden som hade flest dagar med ytansamlingar var i den sydöstra delen av Östersjön samt södra Bottenhavet. Efter detta noterades sporadiska ytansamlingar fram till slutet av augusti.
Förstora bildenGul färg visar area med detekterad förekomst av cyanobakterier. Orange färg visar area med detekterade ytansamlingar. Det grå fältet visar ackumulerade veckodata för area med cyanobakterier. Tunn linje är molntäcke.
Förstora bildenAntal dagar med ytansamlingar av cyanobakterieblomning sommaren 2022. Kartan baseras på data från satelliterna Aqua, med sensorn MODIS, och Sentinel 3A och 3B, med sensorn OLCI.
I tabellen nedan kan du se mer om vilka alger som kan göra musslor och ostron giftiga och vilka gifter som bildas.
Potentiellt giftig art | Riktvärde (Celler/liter) | Toxin | Gränsvärde (µg/kg) |
|---|---|---|---|
Alexandrium spp | 200 | Paralytic Shellfish Toxin (PTS) | 800 |
Azadinium spp | (Riktvärde saknas) | Azaspiracids (AZA) | 160 |
Dinophysis acuminata | 1 500 | Diarrhetic Shellfish Toxin (DST) | 160 |
Dinophysis acuta | 200 | Diarrhetic Shellfish Toxin (DST) | 160 |
Dinophysis dens | 1 500 | Diarrhetic Shellfish Toxin (DST) | 160 |
Dinophysis norvegica | 4 000 | Diarrhetic Shellfish Toxin (DST) | 160 |
Dinophysis tripos | (Riktvärde saknas) | Diarrhetic Shellfish Toxin (DST) | 160 |
Phalacroma rotundatum | 1 500 | Diarrhetic Shellfish Toxin (DST) | 160 |
Lingulodinium polyedrum | (Riktvärde saknas) | Yessotoxin (YTX) | 160 |
Protoceratium reticulatum | 1 000 | Yessotoxin (YTX) | 3 750 |
Pseudo-nitzschia spp | 100 000 | Amnesic Shellfish Toxin (AST) | 20 000 |
Tabell 1: Den andra kolumnen visar riktvärden eller varningsgräns, när sådan finns, på antal celler per liter av potentiellt giftiga arter som övervakas av Livsmedelsverket. Den tredje kolumnen visar giftet som algen kan producera och gifternas respektive gränsvärden visas i kolumn fyra.

