Växtplanktonsituationen 2017
Växtplanktonåret på västkusten var lite ovanligt. Den vanliga vårblomningen med dominans av kiselager ersattes av det för fisk skadliga flagellatsläktet Pseudochattonella. Släktet fortsatte förekomma i höga tätheter fram till april-maj. Årets cyanobakterieblomning började rekordtidigt. Som helhet var blomningen relativt normal och den nådde sin kulmen under juli och augusti.
Förstora bildenKarta över utvalda provtagningsstationer från det nationella utsjöprogrammet.
Västerhavet
Växtplanktonåret var lite ovanligt 2017. I februari månad observerades det för fisk skadliga flagellatsläktet Pseudochattonella* i prover från Kattegatt och Skagerrak. Släktet skulle fortsätta förekomma i förhöjda cellantal till april månad vid de flesta stationer, och vid West Landskrona orsakade släktet Pseudochattonella* ett fluorescensmaximum även i maj. Det var alltså under en lång period som släktet blommade och enligt observationerna verkar den årliga kiselalgblomningen mer eller mindre ha utkonkurrerats.
Det har inte kommit in några rapporter om fiskdöd under perioden. I maj tog även en annan ovanlig blomning vid. Den lilla kiselalgen, Phaeodactylum tricornutum, kallad hällkarsalg på svenska, återfanns i höga cellantal. Arten bidrog säkerligen till de förhöjda klorofyllvärden som uppmättes denna månad.
Å17, i yttre Skagerrak, utmärkte sig dock från de andra stationerna under våren. Här återfanns endast låga cellantal av släktet Pseudochattonella* men däremot var det höga antal av kiselalgen Skeletonema marinoi, vilken brukar dominera i vårblomningen. Här återfanns inte heller hällkarsalgen i höga tätheter.

Det för fisk skadliga släktet Pseudochattonella* dominerade årets vårblomning. Till vänster en bild på en levande cell och till höger är de konserverade. Cellerna har en tendens att tappa sin form när de konserveras och kan vara svåra att upptäcka om de inte är många. Cellernas form kan även variera från avlånga till mer eller mindre runda.
Typiska sommararter fanns i ganska stora antal i juli månad. I september var det dags för kiselalger och särskilt vid Släggö, vid Skagerraks kust, var artdiversiteten stor.
Vid Släggö fanns dessutom relativt höga antal av nakenstadiet av flagellatsläktet Dictyocha, som i sitt ”påklädda” stadium har ett kors- eller stjärnformat kiselskelett beroende på vilken art det är. I det nakna stadiet kan släktet Dictyocha vara skadligt för fisk. I oktober förekom nakenstadiet av släktet Dictyocha* både i Skagerrak och i Kattegatt, vilket också det potentiellt skadliga kiselalgssläktet Pseudo-nitzschia* gjorde. Generellt var kiselalgsdiversiteten hög ända in i november månad.

Släktet Pseudo-nitzscha* innefattar många olika arter och flertalet av dessa förekommer säkerligen kring vår kust. Vissa arter innehåller alggifter (paralytiskt gift) som kan skada oss människor allvarligt via förtäring av musslor innehållande giftet. Det går tyvärr inte att bestämma vilken art det är med ett ljusmikroskop, som de som vi använder i våra analyser.
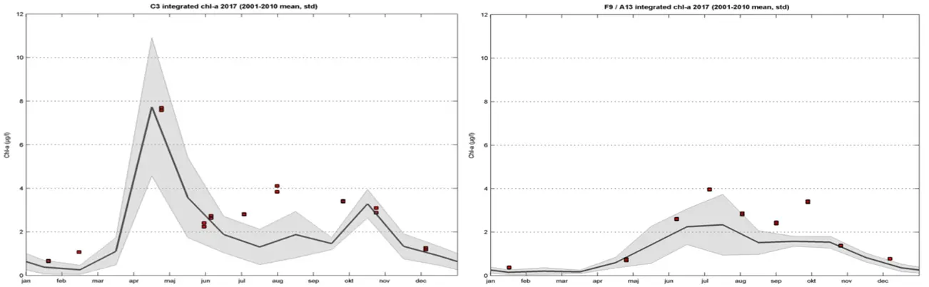
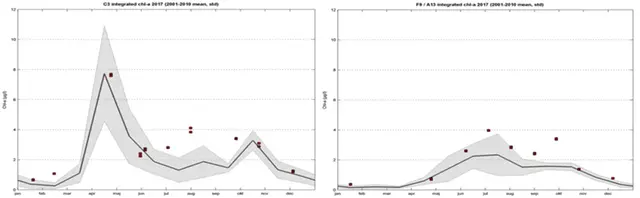
Förstora bildenDiagrammen visar mängden klorofyll a (µg/l) som integrerade värden från 0-10 meter. Punkterna visar 2017 års värden, linjerna visar tio års månadsmedel (2001-2010), och de gråmarkerade områdena visar +/- en standardavvikelse.
Förstora bildenDe gröna cirklarna är ett mått på mängden klorofyll a (µg/l) på de enskilda djupen. Figurerna är informativa på så vis att de visar var någonstans i vattenpelaren som exempelvis vårblomningen befinner sig.
Östersjön
Årets första två månader var väldigt lugna i planktonsamhället som det normalt är under denna årstid. I februari var det dock förhöjda mängder av den filamentösa cyanobakterien Aphanizomenon flos-aquae vid en station, BY38, väster om Gotland. I mars månad kunde man se en begynnande vårblomning i södra Östersjön med relativt höga cellantal av kiselalger och förhöjda klorofyllvärden.
Pseudochattonella-blomningen i Västerhavet hade spridit sig in i sydvästra Östersjön och den potentiellt skadliga algen återfanns i en sjunkande blomning vid BY1 i april. Det var en klorofyllfluorescenstopp som avslöjade släktet Pseudochattonella*, men motsvarande toppar i övriga Östersjön orsakades av årets vårblomning i olika stadier och på olika djup.

Dinoflagellaten Peridiniella catenata är vanligt förekommande i vårblomningen i Östersjön och återfanns även detta år i slutat av april vid flertalet stationer i Östersjön. Arten är en av få dinoflagellater som bildar kedjor kring våra kuster.
Redan i maj var mängden cyanobakterier stor vid de flesta stationer i Egentliga Östersjön. Det var uteslutande Aphanizomenon flos-aquae som noterades, vilket är den arten som brukar komma först när temperaturen är på den lägre skalan av vad de filmentösa sommararterna tål. A. flos-aquae dominerade bland cyanobakterierna även i juni, men då var det även större eller mindre antal av den potentiellt skadliga arten Nodularia spumigena* och av Dolichospermum lemmermannii.
Relativt höga klorofyllfluorescensmaxima i juni orsakades av bland annat arter från den potentiellt skadliga gruppen Prymnesiales*. Cyanobakteriemängderna var stora i juli och alla de tre filamentösa arterna noterades. Nodularia spumigena* återfanns med störst antal i sydöstra Egentliga Östersjön och i Hanöbukten, men fanns i mer eller mindre höga antal även vid övriga stationer. Under hösten sjönk mängden alger efter hand och små arter och kolonier av piko cyanobakterier dominerade i proverna.
Förstora bildenDiagrammen visar mängden klorofyll a (µg/l) som integrerade värden från 0-10 meter. Punkterna visar 2017 års värden, linjerna visar tio års månadsmedel (2001-2010), och de gråmarkerade områdena visar +/- en standardavvikelse.
Bottniska viken
Förstora bildenDiagrammen visar mängden klorofyll a (µg/l) som integrerade värden från 0-10 meter. Punkterna visar 2017 års värden, linjerna visar tio års månadsmedel (2001-2010), och de gråmarkerade områdena visar +/- en standardavvikelse. Klorofyllmätningarna i Bottenhavet och Bottenviken är utförda av Umeå Marina Forskningscentrum.
Cyanobakteriesituationen 2017
Årets cyanobakterieblomning började rekordtidigt. Som helhet var blomningen relativt normal och den nådde sin kulmen under juli och augusti. Att det inte blev mer blomningar var nog på grund av att blåsten var större än vanligt och blandade ner algerna i vattenpelaren. Lite anmärkningsvärt var att framför allt den norra delen av Östersjön hade störst mängder.
Förstora bildenAntal dagar med algblomning sommaren 2017.
I tabellen nedan kan du se mer om vilka alger som kan göra musslor och ostron giftiga och vilka gifter som bildas.
Potentiellt giftig art | Riktvärde (Celler/liter) | Toxin | Gränsvärde (µg/kg) |
|---|---|---|---|
Alexandrium spp | 200 | Paralytic Shellfish Toxin (PTS) | 800 |
Azadinium spp | (Riktvärde saknas) | Azaspiracids (AZA) | 160 |
Dinophysis acuminata | 1 500 | Diarrhetic Shellfish Toxin (DST) | 160 |
Dinophysis acuta | 200 | Diarrhetic Shellfish Toxin (DST) | 160 |
Dinophysis dens | 1 500 | Diarrhetic Shellfish Toxin (DST) | 160 |
Dinophysis norvegica | 4 000 | Diarrhetic Shellfish Toxin (DST) | 160 |
Phalacroma rotundatum | 1 500 | Diarrhetic Shellfish Toxin (DST) | 160 |
Lingulodinium polyedrum | (Riktvärde saknas) | Yessotoxin (YTX) | 3 750 |
Protoceratium reticulatum | 1 000 | Yessotoxin (YTX) | 3 750 |
Pseudo-nitzschia spp | 100 000 | Amnesic Shellfish Toxin (AST) | 20 000 |
Tabell 1: Den andra kolumnen visar riktvärden eller varningsgräns, när sådan finns, på antal celler per liter av potentiellt giftiga arter som övervakas av Livsmedelsverket. Den tredje kolumnen visar giftet som algen kan producera och gifternas respektive gränsvärden visas i kolumn fyra.

