Växtplanktonsituationen 2015
Cyanobakterieblomningen i Östersjön kom igång sent 2015, men var intensiv så länge den varade. I Västerhavet var förekomsten av giftiga arter måttlig. En alggrupp som kan vara skadlig för fisk och andra organismer blommade och orsakade förhöjda klorofyllvärden i april-maj. Annars var det typiska kiselalgsblomningar vår, sommar och höst.

Dinoflagellaten Peridiniella catenata brukar vara talrik under vårblomningen i Östersjön.
Västerhavet
Vid Hallands- och Bohuskusterna var det stor skillnad i mängden näringsämnen mellan provtagningarna i februari och mars. Av detta kan man dra slutsatsen att årets vårblomning hade ägt rum däremellan. I de inre fjordarna vid Bohuskusten, var det vårblomning en månad senare vilket är vanligt. Nationell provtagning tog mycket passande plats mitt i februari, när blomningen var i full gång. Höga antal celler av kiselalger mättes upp och många arter observerades vid de fyra nationella stationerna i Kattegatt och Skagerrak.
Olika organismer inom gruppen Prymnesiales blommade i april och maj. I april var det troligtvis en ogiftig art som heter Corymbellus aureus, vilket inte är verifierat ännu. I april var det en mindre ännu mer svåridentifierad art från samma grupp. Det är så med de flesta arter inom Prymnesiales att det är mycket små detaljer, som form på cellernas skalplattor, som avslöjar vilken art de tillhör. Till detta behövs mycket finare och mer högupplösta instrument än vad som används inom miljöövervakningen. Flera arter inom gruppen är potentiellt skadliga för fisk och andra organismer.
I juni var det kiselalgsblomning längs västkusten. Dominerande arter var Skeletonema marinoi och Phaeodactylum tricornutum. P. tricornutum är en speciell art med tanke på att den trivs utmärkt i hällkar med den skiftande och extrema miljö som det innebär, alltså man kan tänka sig att detta är en mycket tålig art.

Phaeodactylum tricornutum blommade tillsammans med Skeletonema marinoi vid många stationer i Västerhavet i juni.
Mot slutet av året blommade kiselalgen Pseudo-nitszchia spp. som kan producera AST (Amnesic Shellfish Toxin), vilket i sin tur gör filtrerande musslor, som till exempel blåmusslor,
giftiga att äta.

Kiselalgssläktet Pseudo-nitzschia är en potentiellt giftig art. Gifterna den kan producera (AST, Amnesic Shellfish Toxins) observerades i svenska blåmusslor för första gången under våren 2015, och har åter uppmätts under april 2016.
Östersjön
I sydöstra Östersjön och i Kalmarsund var det vårblomning i mars med höga klorofyllhalter och cellantal. Månaden efter var det i stället de nordligaste utsjöstationerna kring Gotland som hade förhöjda cellantal.
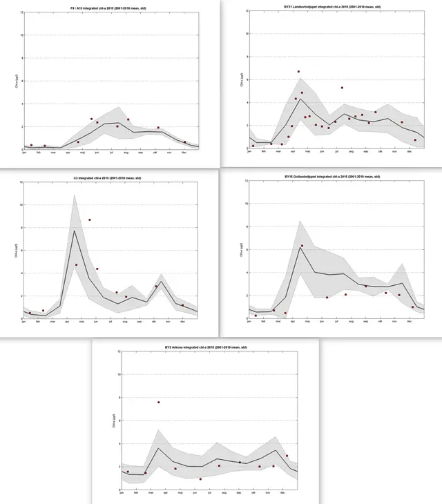
Förstora bildenDiagrammen visar mängden klorofyll a (µg/l) som integrerade värden från 0-10 meter. Punkterna visar 2015 års värden, linjerna visar tio års månadsmedel (2001-2010), och de gråmarkerade områdena visar +/- en standardavvikelse. Klorofyllmätningarna i Bottenhavet och Bottenviken är utförda av Umeå Marina Forskningscentrum.
I juni dominerade cyanobakterien Aphanizomenon flos-aquae och dinoflagellaten Dinophysis norvegica i proverna från Egentliga Östersjön. I övrigt så kom cyanobakterieblomningen i gång rätt sent under sommaren 2015 på grund av den kalla början på sommaren.

Cyanobakterien Aphanizomenon flos-aquae är en av tre trådlika cyanobakterier som brukar dominera under blomningarna i Östersjön sommartid. Det är denna som brukar komma igång först, som tål lägst temperatur i vattnet av de tre.
I Bottniska viken orsakades de höga klorofyllvärdena i maj och juni (se figur C3 och F9/A3) till stor del av ciliaten Mesodinium rubrum, kiselalgsläktet Thalassiosira och dinoflagellaten Peridiniella catenata.



