Huvudinnehåll
Utforska ett ämne i kunskapsbanken
Hydrologi
Faktapaket: Historiska översvämningar
2000 - Översvämningarna i södra Norrland i juli
Stora nederbördsmängder ledde till stora översvämningar i många vattendrag i södra Norrland och Dalarna. Problemen började på allvar den 17 juli då små och medelstora vattendrag snabbt fylldes och i första hand orsakade skador på vägar och broar samt på bebyggelse nära vattendragen. Först påverkades de sjöfattiga vattensystemen, men allt eftersom vattenståndet i sjöarna steg ökade även flödena i de sjörika vattendragen. Problemen förflyttades sedan till de större vattendragen och nedströms i de stora vattensystemen.

Översvämmad park i Järvsö.
Det översvämningsdrabbade området i södra Norrland fick betydligt mer regn än normalt redan under tiden april - juni, och det ostadiga vädret fortsatte även i juli.
Under månadens första tio dagar kom flera lågtryck med tillhörande regnområden in från sydväst över Sydsverige varefter de rörde sig vidare upp över landet.
Sydeuropa, framför allt Balkan, täcktes samtidigt av extremt varm luft med eftermiddagstemperaturer på omkring 40°.
En fruktad lågtrycksbana
Den 10-11 juli strömmade varmluften i sydöst norrut över Ryssland, för att efter hand nå ända upp till Ishavskusten, och över Ukraina började samtidigt lågtryck bildas i gränsområdet till betydligt svalare luft över Västeuropa.
Lågtrycken med tillhörande regnområden rörde sig sedan åt nordväst mot Sverige där de stannade upp. Denna lågtryckstrafik bestod sedan i drygt två veckor.
Regnväder som når vårt land från sydöst är fruktade därför att deras banor är svåra att förutsäga exakt. De kan dessutom ge stora nederbördsmängder, beroende på att de dels rör sig långsamt, dels är ovanligt intensiva.
Rekordmängder
Regnområden på denna ovanliga bana gav den 12-25 juli stora regnmängder i främst de inre delarna av södra Norrland, på sina håll drygt 200 mm.
Mest regn under juli 2000 fick Höglekardalen i Oviksfjällen med inte mindre än 310 mm, viket är en av de största mängderna under en julimånad överhuvudtaget i Sverige. Sverigerekordet lyder på 333 mm i Bäckaskog, 2 km söder om Kiaby kyrka i Skåne i juli 1959.
När det gäller enskilda stationer med långa mätserier så blev det i juli 2000 nya nederbördsrekord i bland annat Östersund och Sveg.
Att ett så stort område i södra Norrland får så stora mängder under loppet av endast ett par veckor är mycket ovanligt. Uppskattningsvis sker det mindre än en gång vart tionde år i vårt land.
I de drabbade delarna av södra Norrland finns inget lika extremt fall dokumenterat under de mer än 100 år som nederbördsmätningar har förekommit. De största enskilda dygnsmängderna i juli stannade vid 70-80 mm, vilket däremot inte är lika ovanligt.
Den hydrologiska situationen
De stora nederbördsmängderna medförde att marken blev mättad och bland det första som inträffade var skred och ras på utsatta platser. Det orsakade lokala skador, t.ex. ras vid hus på flera platser samt ras och underminering av järnvägsbankar.
Små och medelstora vattendrag fylldes snabbt och orsakade i första hand skador på vägar och broar samt på bebyggelse nära vattendragen.
Först påverkades de sjöfattiga vattensystemen, men allt eftersom vattenståndet i sjöarna steg ökade även flödena i de sjörika vattendragen. Problemen förflyttades sedan till de större vattendragen och nedströms i de stora vattensystemen.
I de reglerade vattendragen förvärrades situationen av att magasinen i södra Norrland, som var fyllda efter vårfloden och det myckna regnandet, nu började tappas i samband med stor tillrinning för att förhindra överdämning i magasinen.
Förutom översvämningsskador på många platser inträffade även problem i grundvattentäkter och brunnar på grund av kontaminering med yt-och älvvatten.
I de små sjöfattiga systemen avtog flödena relativt snabbt när regnen upphörde, medan flödena i vissa sjörika system alltjämt stiger och först nu håller på att kulminera. När vattenmassorna sedan sjunker ökar igen risken för ras och skred.
Ångermanälven
Uppmätta flöden vid Sollefteå kraftverk uppgick som mest till 1665 m³/s (25/7), vilket är betydligt lägre än vid flödet i augusti 1993 (2628 m³/s).
Indalsälven
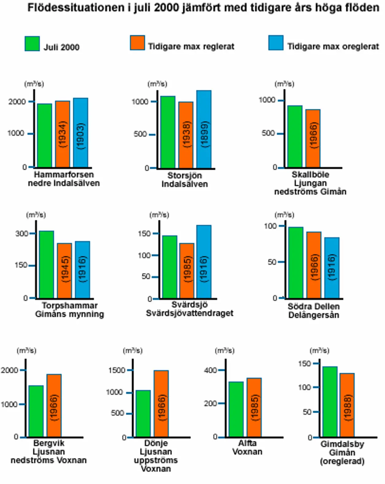
Vattenståndet i Storsjön steg upp till 293,32 m ö h den 21-22/7 (tidigare högsta observerade sommarvattenstånd är 293,78). Tappningen ökades då till 1107 m³/s (23/7). Det är den högsta avrinningen från Storsjön under reglerad tid.
I Hammarforsen uppgick flödena som mest till 1899 m³/s (23/7). Högsta tappning under reglerad period är 2020 m³/s (1934), men då var regleringsgraden betydligt mindre. Före regleringarna uppmättes 2107 m³/s 1903.
Vid Bergeforsen i mynningen var flödet 2120 m³/s (22/7), vilket är ca 350 m³/s högre än 1995. Mätserien är från 1965.
Ljungan
I huvudvattendraget Ljungan tappades som mest 1050 m³/s (22/7) i Skallböle kraftverk nedströms Stödesjön. Detta flöde översteg vårfloden 1966 (885 m³/s). I Stödesjön liksom i sjön Marmen noterades mycket höga vattenstånd.
I Ljungans biflöde Gimån var flödena mycket höga och översteg tidigare observerade värden. I den oreglerade övre delen uppgick flödet vid Gimdalsbyn till 131 m³/s (26/7). I mätserien från 1910 är det tidigare högsta flödet 127 m³/s (1945 och 1966). I det reglerade nedre delen av Gimån tappades 314 m³/s vid Torpshammar under stor del av perioden.

Flödet i Gimån vid Torpshammar fick stor uppmärksamhet då Räddningstjänsten beslutade att bränna ner ett hus som annars riskerade att rasa ner i vattnet och påverka en bensinstation nedströms. Ett godståg fick stå på järnvägsbron för att tynga ner och rädda den i vattenmassorna.
Delångersån
Flödet vid Rolfsta nedströms Dellensjöarna var 25-27 juni 96 m³/. Tidigare högsta flöde inträffade under vårfloden 1966 (90 m³/s). Mätserien är från 1930. Vattenståndet i Dellensjöarna var extremt högt.
Ljusnan
Vid Svegsjön var det maximala flödet 753 m³/s (22/7), vilket är lägre än 1985 (870 m³/s)och 1995 (923 m³/s).
Nedströms ökade flödet på grund av de stora regnmängderna. Vid Dönje strax innan Voxnans inflöde uppgick flödet till 1116 m³/s. Högsta observerad flöde är 1504 m³/s under vårfloden 1966.
Efter sammanflödet med Voxnan nedströms Bollnäs ökade mängderna ytterligare. Vid Bergvik 2 mil från mynningen uppgick vattenmängderna till 1566 m³/s, vilket är ungefär lika mycket som under höstflödet 1985, men betydligt lägre än vårfloden 1966 (2640 m³/s).
I Alfta i Ljusnans biflöde Voxnan uppmättes nästan lika mycket vatten som 1985. I mängder innebär det 338 m³/s den 23-24/7 mot 360 m³/s som mest 1985. Flödena 1985 och 2000 är de högsta under en mätperiod av 50 år.

Voxnan svämmar över vid Edsbyns idrottsplats.
Dalälven
Vid Svärdsjö uppmättes 153 m³/s den 27/7. Högsta observerade flöde på 165 m³/s uppmättes 1916.
Vattenståndet i Runn påverkar flödena i Faluån vid Falun. Den 26/7 var flödet sakta stigande liksom vattenståndet i sjön Runn.
Mälaren
De stora tillflödena och regnen över Mälaren har medfört att vattenståndet befinner sig på sommarrekord för juli månad (0,52 m ö h). Vinter och vårtid har dock Mälaren ibland högre nivåer.
Mer i detta faktapaket
- Hydrologi
Historiska översvämningar
Här har vi sammanställt information om kända översvämningar i landet. Kanske minns du någon av dem? De flesta översvämningar är från senare tid, me...
- Historiska översvämningar
2024 - Vinteröversvämningar i Skåne och Östergötland
I januari och februari 2024 ledde snösmältning och regn till översvämningar i Skåne och Östergötland, bland annat vid Ringsjöarna, Hörbyån, Kvävlin...
- Historiska översvämningar
2023 - Översvämningar efter ovädret Hans
Under augusti och början av september 2023 drabbades stora delar av Sverige av kraftigt regn, vilket ledde till översvämningar och extremt höga flö...
- Historiska översvämningar
2023 - Vinterflöden i södra Sverige
Början av januari blev nederbördsrik i södra Sverige och det i samband med snösmältning ledde till höga vattenflöden i många vattendrag och stora p...
- Historiska översvämningar
2023 - Kraftig vårflod i Torneälven
Vårfloden 2023 blev kraftig i nordligaste delen av landet med höga flöden och översvämningar. I Torneälven och biflödet Muonioälven var flödena ext...
- Historiska översvämningar
2021 - Sommaröversvämningar i östra Götaland och Svealand
I slutet av maj kom ett intensivt regn in över delar av östra Götaland och Svealand och gav höga flöden i många små vattendrag. Regnet föll delvis ...
- Historiska översvämningar
2021 - Skyfall i Gävle
Augusti 2021 var en nederbördsrik månad i stora delar av Sverige. Ett intensivt lågtryck gav stora mängder regn i Gävleborg och Dalarna den 17-18 a...
- Historiska översvämningar
2020 - Höga vinterflöden i Götaland
Året inleddes milt och nederbördsrikt med mycket höga flöden i Götaland. Vid stationen Hillared i Ätran var flödet i februari det högsta uppmätta s...
Faktapaket hydrologi
Alla faktapaket inom hydrologi
Vi har satt ihop artiklar utifrån kategorier. Allt för att du ska få ett samlat innehåll.



