Hitta på sidan
För dagliga värden av global lufttemperatur (2 meter över mark) sedan 1940 använder vi från EU:s klimattjänst Copernicus. ERA5 är en så kallad återanalys, där många olika observationer av jordens klimat kombineras med en global väderprognosmodell för att få en global bästa uppskattning av vädret en given historisk dag.
De senaste cirka tre månadernas värden är preliminära och kan i sällsynta fall komma att justeras när slutlig ERA5-data är tillgängligt. De dagar som har preliminära värden visas i den csv-fil som tillhör diagrammet.
Data: ERA5 hourly data on single levels from 1940 to present (Copernicus) Länk till annan webbplats.
DOI: 10.24381/cds.adbb2d47 Länk till annan webbplats.
Nedladdat från: Copernicus Climate Pulse Länk till annan webbplats., era5_daily_series_2t_global.csv (Copernicus) Länk till annan webbplats.
Referenser till orginaldata:
- Buontempo et al 2022. The Copernicus Climate Change Service: Climate Science in Action. Bulletin of the American Meteorological Society 103 (12) · DOI: 10.1175/BAMS-D-21-0315.1 Länk till annan webbplats.
- Hersbach et al. 2020 The ERA5 global Reanalysis. Quarterly Journal of the Royal Meteorological Society 146 (70) · DOI: 10.1002/qj.3803 Länk till annan webbplats.
Vilken ERA5-data används?
De ERA5-data som används här inkluderar preliminära data (känd som ERA5T) från de senaste tre månaderna och slutliga data (för data äldre än tre månader). Om ett allvarligt problem upptäcks i den initiala utgivningsdata, kan ERA5 köras igen. I sådana fall kommer den initiala och den slutliga versionen av data att vara olika. Detta händer dock sällan och för det mesta är de två versionerna identiska.
Hur beräknas dagliga medelvärden?
För lufttemperatur beräknas dygnsmedelvärden från timmedelvärden från 00 till 23 UTC. För alla dagar upp till 3 dagar innan realtid hämtas timdata från ERA5, som erhålls genom att kombinera modellutdata och observationer. För den sista dagen i tidsserien (2 dagar efter realtid) hämtas timdata från ERA5-analysen för 00 till 21 UTC och från ERA5-korttidsprognosen för 22 och 23 UTC. Därför är uppgifterna i det här fallet preliminära. Den kommer att uppdateras när ERA5-analysdata för hela dagen blir tillgänglig. Vilka dagar som har preliminära värden kan man se i den csv-fil som tillhör ett diagram.
För att visa hur stor klimatförändringen varit sen förindustriell tid används ofta data från senare halvan av 1800-talet. Detta då det är först då som det finns tillräckligt med observationer för att kunna beräkna globala medelvärden. I andra klimatologiska sammanhang används ofta 30-åriga, så kallade normalperioder.
Lär dig mer om normalperioder i SMHIs kunskapsbank.
För att visa global temperaturförändring sedan förindustriell tid (1850-1900) för varje enskild dag, gör SMHI ytterligare beräkningar baserat på Copernicus metodik presenterad i:
Climate Bulletin - About the data and analysis (Copernicus) Länk till annan webbplats.
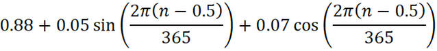
Referensperioden 1850-1900 beräknas genom att utgå från det klimatologiska årsmedelvärdet för perioden 1991-2020 och subtrahera den genomsnittliga globala medeluppvärmningen på 0,88°C enligt Copernicus. Det är tillräckligt exakt för årsvärden, men för kortare perioder (dagliga och månatliga) krävs ytterligare antaganden eller uppskattningar. Här handlar det om att den globala temperaturökningen skiljer sig åt för årets olika månader. Detta då landområden värms snabbare än hav och då skillnaderna är olika stora för olika årstider med mer eller mindre is/snö på marken, markfuktighet etc. Globalt är uppvärmningen störst för mars månad och minst i juli. För att justera för detta för årets alla dagar används formeln nedan.
Enligt Copernicus metodik kan temperaturförskjutningen (i °C), för dag n i ett år, beräknas med följande ekvation (för n = 1, 2, …, 365 dagar):
För 29 februari bestäms förskjutningen 1850-1900 från 1991-2020 och klimatet 1991-2020 av medelvärden för 28 februari och 1 mars. För mer detaljer, se Copernicus beskrivning.

Formel för att beräkna temperaturförskjutningen (i °C), för dag n i ett 365-dagars år (för n = 1, 2, …, 365). Formeln kan skrivas ut enligt: 0,88+0,05sin((2π(n-0,5))/365)+0,07cos((2π(n-0,5))/365)
Diagram med ERA5
Följ den globala medeltemperaturen per dygn. Data ingår för varje dag från januari 1940 till i förrgår.
Följ temperaturökningen jämfört med förindustriell tid (1850-1900). Vi visar antal dygn, per år, med en temperaturökning inom olika intervall.
HadCRUT5
För årsvärden av global medeltemperatur sedan 1850 använder vi HadCRUT5 från Met Office Hadley Centre, som täcker en längre period bakåt i tiden än ERA5.
Data: HadCRUT.5.0.2.0 (Met Office Hadley Centre) Länk till annan webbplats.
Nedladdat från: HadCRUT.5.0.2.0.analysis.summary_series.global.annual.csv Länk till annan webbplats.
Referens till orginaldata:
Morice, C. P., Kennedy, J. J., Rayner, N. A., Winn, J. P., Hogan, E., Killick, R. E., et al. (2021). An updated assessment of near-surface temperature change from 1850: the HadCRUT5 data set. Journal of Geophysical Research: Atmospheres, 126, e2019JD032361. https://doi.org/10.1029/2019JD032361 Länk till annan webbplats.
SMHIs beräkningar baserat på indata från HadCRUT5
För att visa global temperaturförändring sedan för-industriell tid gör SMHI ytterligare beräkningar baserat på indata från HadCRUT5.
För diagrammet som visar ”Global medeltemperatur per år sedan 1850, jämfört med förindustriell tid”, beräknar SMHI medelvärdet för den globala medeltemperaturen för åren 1850-1900. Därefter beräknas avvikelsen mellan varje års medeltemperatur och medeltemperaturen för 1850-1900.
För diagrammet som visar ” Medeltemperatur för 5-årsperioder jämfört med förindustriell tid. (Sverige och Globalt)”, beräknar SMHI medelvärdet för den globala medeltemperaturen för åren 1860-1900. Därefter beräknas avvikelsen mellan varje års medeltemperatur och medeltemperaturen för 1860-1900. Slutligen beräknas femårsmedel. Anledningen till att en annan tidsperiod används för det här diagrammet är för att den svenska klimatindikatorn bara har värden från 1860.
Diagram med HadCRUT5
Följ den globala medeltemperaturen per år sedan 1850, jämfört med förindustriell tid (1850-1900)
Följ medeltemperatur för 5-årsperioder, jämfört med förindustriell tid (1860-1900), för Sverige och globalt.
Mauna Loa CO2
För koncentration av koldioxid i atmosfären använder vi data från Mauna Loa-observatoriet på Hawaii, NOAA.
Data: Mauna Loa CO2, NOAA. Länk till annan webbplats.
Nedladdat från: https://gml.noaa.gov/webdata/ccgg/trends/co2/co2_annmean_mlo.csv Länk till annan webbplats.
Referenser till orginaldata:
Dr. Xin Lan, NOAA/GML (gml.noaa.gov/ccgg/trends/) and Dr. Ralph Keeling, Scripps Institution of Oceanography (scrippsco2.ucsd.edu/).
Diagram med Mauna Loa CO2
Följ koncentrationen av CO2 i atmosfären sedan 1960.
SMHIs klimatindikatorer
För årlig medeltemperatur i Sverige använder vi data från SMHI.
Data: SMHIs klimatindikatorer
Nedladdat från:
https://www.smhi.se/klimat/klimatet-da-och-nu/klimatindikatorer/temperatur
Copyright SMHI.
Medeltemperaturen för åren 1860-1900 beräknas från SMHIs klimatindikator. Därefter beräknas avvikelsen mellan varje års medeltemperatur och medeltemperaturen för 1860-1900. Slutligen beräknas femårsmedel. Anledningen till att tidsperioden 1860-1900 används är för att den svenska klimatindikatorn bara har värden från 1860.
Diagram med SMHIs klimatindikator - temperatur
Följ medeltemperatur för 5-årsperioder, jämfört med förindustriell tid (1860-1900), för Sverige och globalt.
